|
Enantiomerically
Pure Aziridine-2-carboxylates and Their Derivatives for Organic Synthesis
Preparation of Enantiomerically Pure Aziridine-2-carboxylates

Transformation of the Side Chain Attached to the Chiral Aziridine

Preparation of 2-acylaziridines
Stereoselective reduction of 2-acylaziridines to provide vicinal amino
alcohols

Stereoselective additions to the aldimine
Preparation of 2-vinylaziridines

Aziridine Ring-opening
Regioselective reductive ring-opening

Regioselective ring-opening with heteroatom nucleophiles
- with oxygen
- with nitrogen and sulfur

Summary

Rearrangements and ring expansions
Preparation of 5-functionalized oxazolidinones

Preparation of 4-functionalized oxazolidinones
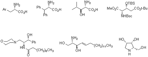
Asymmetric synthesis of amino acid derivatives
from chiral aziridines
Representative examples
Both
(2R)- and (2S)-aziridine-2-carboxylates and their derivatives are now
commercially available in bulk quantities in optically pure forms. Stereo-
and regioselective transformations including aziridine ring-opening reactions
enable us to prepare a variety of nitrogen-containing molecules. Some
of them may be useful in the practical synthesis of commercially valuable
compounds and as starting molecules to generate diverse compound libraries.
|